उखु किसानको नाममा बिचौलियाको घुसपैठ, तथ्य बाहिर आएपछि श्यामहरि रायको ओठमुख सुक्यो
काठमाडौं । अन्नपूर्ण सुगर एण्ड जनरल ईण्डष्ट्रिज प्रा.लि.का सञ्चालक राकेश अग्रवालले उखु किसानहरूको आन्दोलनमा सहभागी हरिश्याम राय नाम गरेका बिचौलियाले आफूसँग थुप्रै रकम लगेको बताएका छन् ।
सञ्चालक अग्रवालले मंगलबार विज्ञप्ति जारी गरेर कृषक आन्दोलनको सचिव बताउने राय बिचौलिया रहेको बताए । ‘आन्दोलनको नेतृत्व गरिरहेका आफूलाई कृषक आन्दोलनको सचिव बताउने हरिश्याम राय बिचौलिया हुन् र यो आन्दोलनको नाममा उनले हामीसँग मोलमोलाई गरेको जानकारी गराउन चाहन्छौँ’, विज्ञप्तिमा भनिएको छ ।
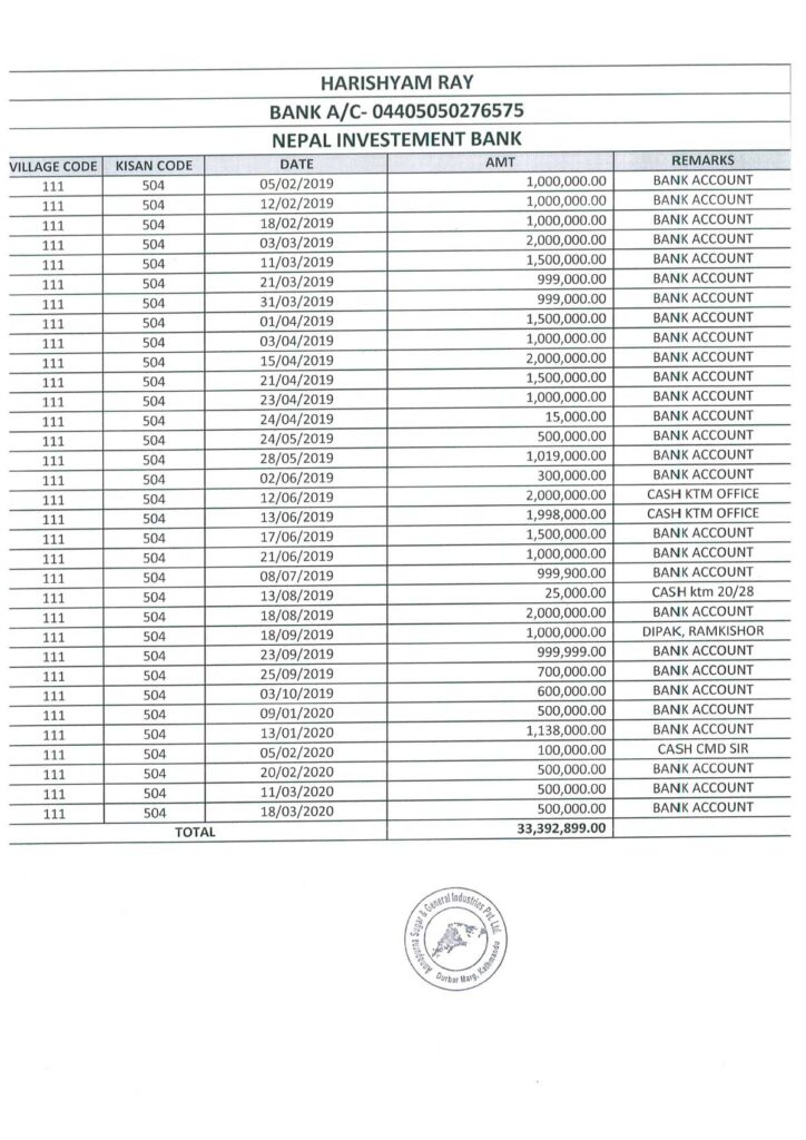
‘हरेक पटक हामीलाई आन्दोलनको धम्की दिएर रायले विभिन्न मितिमा हामीसँग ३ करोड ३३ लाख ९२ हजार ८ सय ९९ रुपियाँ भक्तानी लिएका छन्’, सञ्चालक अग्रवालले भनेका छन् ।
‘भुक्तानी नपाएका किसानसँग उखुका पर्ची सस्तोमा किनेर हामीलाई महँगोमा बेचेर करोडौं रुपियाँ रायले लिने गरेका छन्’, अग्रवालले भनेका छन्, ‘हरिश्याम रायको स्वार्थअनुसार हामीले पैसा दिन नसकेपछि उनी आन्दोलनभन्दै काठमाडौं आउँछन र पुनः मोलमोलाई शुरु गर्छन् । यसमा अरु व्यक्ति पनि संलग्न रहेको हुनसक्ने हाम्रो बुझाइ छ । यसको बिस्तृत र निष्पक्ष छानबिनका लागि हामी बिनम्र अनुरोध गर्दछौँ ।’
‘हरिश्याम रायले कति जमीनमा खेती गर्छन् ? उनको उखुको उत्पान र बिक्री कति थियो ? उनले मिलबाट पाउनुपर्ने रकम कति हो ?’, प्रश्न गर्दै सञ्चालक अग्रवालले भनेका छन्, ‘उउनले सन् २०१९ को मे महिनाको २ तारिखदेखि सन् २०२० को मार्च ३ तारिखसम्म ३२ पटक गरेर हामीसँग ३ करोड ३३ लाख ९२ हजार ८ सय ९९ सय रुपियाँ भुक्तानी लिएका छन्’, विज्ञप्तिा भनिएको छ, ‘नेपाल इन्भेष्टमेन्ट बैंकको उनको खाता नम्बर ०४४०५०५०२७६५७५ मा उद्योगले बाध्य भएर पटक–पटक पैसा पठाएको छ र नगद समेत निजलाई दिएको छ । उनले हाम्रो घरमै आएर पैसा लिएको भिडियो प्रमाण समेत हामीसँग सुरक्षित रहेको जानकारी गराउन चाहन्छौँ ।’
मिल्स सञ्चालक अग्रवालले भनेका छन्, ‘हाम्रो उद्योग र हाम्रो लगानीबारे एक पटक पनि नसोँची उल्टै हामीर्लाइ चोर, फटाहा, ठग जस्ता उपमा दिएर तिरस्कार गरिँदा यो देशको उद्योगी हुँ भन्न सक्दिैन, मन बेस्सरी रोएको छ ।’
‘चालीस करोड रुपियाँ तिर्न नसक्नेगरी कुनै उद्योगीले दुई अर्ब प्रत्यक्ष लगानी कसरी गर्न सक्छ ? सबै घटना क्रम नियालेर बसेको छु’, उनले भनेका छन्, ‘मेरो कुरा कुनै पनि निकायले नसुन्दा निकै नमजा लागेको छ ।’
सञ्चालक अग्रवालले आवश्यक सबै प्रमाणसहित किसान आन्दोलनको नाममा भएको दलालको छद्म नाटक सबैले चिन्नुपर्ने बताएका छन् । उनले सच्चिकै किसान र पीडितको माग सम्बोधन गर्न तयार रहेको भन्दै किसानलाई तिर्नुपर्ने ४० करोडमध्ये बाँकी रकम तिरेर २२ करोड मा ल्याएको बताएका छन् । सञ्चालक अग्रवालले आफूले तिर्नुपर्ने ३० करोड भनेर गलत प्रचार गरिएको समेत बताएका छन् । (तस्वीर माइतीघर मण्डलमा धर्ना बसेका किसानहरू)




बिचार/ब्लग
मजदुरी गर्ने गरिबहरूले नेपालमै सस्तो सामान प्राप्त गर्ने वातावरण तयार गर्नु पर्छ : कांग्रेस नेता गुरुङ
कल्याण गुरुङ, नेता, नेपाली कांग्रेस

फेसबुकबाट तपाईको प्रतिक्रिया